| 業務中心: | 0371-55696552 18037153049 |
您的當前位置:魯班培訓-一建培訓,二建培訓,監理,注冊安全工程師等 > 復習備考 > 備考歷程 >
二級建造師每日一練(11.16)
B、總的工作持續時間最短的線路
C、經確定不會發生轉移的線路
D、自始至終全部由關鍵工作組成的線路
向下滑動查看參考答案
↓
↓↓
↓↓↓↓
答案:D
解析:在各條線路中,有一條或幾條線路的總時間最長,稱為關鍵路線,一般用雙線或粗線標注。其他線路長度均小于關鍵線路,稱為非關鍵線路。網絡計劃中總時差最小的工作是關鍵工作。不一定總時差為零,總時差要看業主要求時間和計算時間之間的差額。A說法錯誤,要特別注意總時差的計算。自始至終全部由關鍵工作組成的線路為關鍵線路,或線路上總的工作持續時間最長的線路為關鍵線路。B說法錯誤,D說法正確。關鍵線路因為工作時間調整或者資源接續以及邏輯關系調整,關鍵線路可能產生變化。C項說法錯誤。因此本題正確選項為D。

B、1
C、3
D、4
向下滑動查看參考答案
↓
↓↓
↓↓↓↓
答案:D
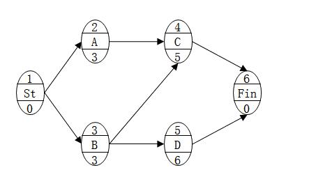
解析:本題考查的是單代號網絡計劃。工作C的最遲開始時間=工作C的最遲完成時間-持續時間=9-5=4天。
B、只有一個起點節點
C、關鍵工作必須安排在圖面中心
D、工作箭線只能用水平線
向下滑動查看參考答案
↓
↓↓
↓↓↓↓
答案:B
解析:繪制網絡圖時,箭線不宜交叉,當交叉不可避免時,可用過橋法或指向法,A選項說法不正確。雙代號網絡圖中應只有一個起點節點,B選項說法正確;關鍵線路、關鍵工作一般安排在圖面中心位置,但并非硬性要求,C選項說法不正確;網絡圖中的工作箭線宜畫成水平線或斜線、折線,D選項說法不正確。故本題正確選項為B。
B、貸款人不得預先在本金中扣除利息
C、借款人應當按照約定的用途使用借款
D、對于未定期限且無法確定期限的借款合同,借款人可以隨時償還
E、訂立借款合同,貸款人可以要求借款人提供擔保
向下滑動查看參考答案
↓
↓↓
↓↓↓↓
答案:BCE
解析:本題考查的是借款合同當事人的權利義務。貸款人的主要義務是提供借款和不得預扣利息。借款人的主要義務是提供擔保、提供真實情況、按照約定收取借款、按照約定用途使用借款、按期歸還本金和利息。對借款期限沒有約定或者約定不明確,可以協議補充;不能達成補充協議的,按照合同有關條款或者交易習慣確定。對于不能達成補充協議,也不能按照合同有關條款或者交易習慣確定的,借款人可以隨時返還;貸款人可以催告借款人在合理期限內返還。故B、C、E正確。
B、向甲公司交付彩印機
C、向乙公司履行瑕疵擔保義務
D、向甲公司履行瑕疵擔保義務
E、甲公司履行維修義務
向下滑動查看參考答案
↓
↓↓
↓↓↓↓
答案:BDE
解析:本題考查的是融資租賃合同當事人的權利義務。出賣人的主要義務是向承租人交付標的物和標的物的瑕疵擔保。
根據融資租賃合同,雖然出賣人是向出租人主張價金,但卻需按照約定向承租人交付標的物。承租人享有與受領標的物有關的買受人的權利。由于出賣人是向承租人交付標的物,則承租人便享有與受領標的物有關的買受人的權利,包括出賣人應向承租人履行標的物的瑕疵擔保義務。
承租人應當妥善保管、使用租賃物。承租人應當履行占有租賃物期間的維修義務。
B、委托人死亡
C、受托人喪失民事行為能力
D、受托人破產
E、委托人的繼承人承受委托事務
向下滑動查看參考答案
↓
↓↓
↓↓↓↓
答案:ABCD
解析:本題考查的是委托合同的終止。委托人或者受托人死亡、喪失民事行為能力或者破產的,委托合同終止,但當事人另有約定或者根據委托事務的性質不宜終止的除外。故A、B、C、D正確。
B、建設單位
C、城建檔案館
D、監督機構
向下滑動查看參考答案
↓
↓↓
↓↓↓↓
答案:B
解析:本題考查的是工程資料移交與歸檔。工程資料移交應符合下列規定:施工單位應向建設單位移交施工資料。故B正確。
B、項目部用章
C、建造師執業用章
D、企業印章
向下滑動查看參考答案
↓
↓↓
↓↓↓↓
答案:A
解析:本題考查的是竣工圖的編制與審核的規定。當施工圖沒有變更時,可直接在施工圖上加蓋竣工圖章形成竣工圖。故A正確。
B、甲醛、苯、氨、總揮發性有機化合物(TVOC)濃度檢測時,對采用自然通風的民用建筑工程,檢測應在對外門窗關閉1h后進行
C、氡濃度檢測時,對采用集中通風的民用建筑工程,應在通風系統正常運轉的條件下進行
D、氡濃度檢測時,對采用自然通風的民用建筑工程,檢測應在對外門窗關閉24h后進行
向下滑動查看參考答案
↓
↓↓
↓↓↓↓
答案:A
解析:民用建筑工程室內環境中甲醛、苯、氨、甲苯、二甲苯、總揮發性有機化合物(TVOC)濃度檢測時,對采用集中通風的民用建筑工程,應在通風系統正常運轉的條件下進行;對采用自然通風的民用建筑工程,檢測應在對外門窗關閉1h后進行。民用建筑工程室內環境中氡濃度檢測時,對采用集中通風的民用建筑工程,應在通風系統正常運轉的條件下進行;對采用自然通風的民用建筑工程,應在房間的對外門窗關閉24h以后進行。故B、C、D錯誤,A正確。
B、技術負責人
C、負責人
D、生產負責人
向下滑動查看參考答案
↓
↓↓
↓↓↓↓
答案:B
解析:本題主要考查的是施工準備階段質量管理內容。項目技術負責人主持由有關人員參加的對設計圖紙的學習與審核,認真領會設計意圖,掌握施工設計圖紙和相關技術標準的要求,并應形成會審記錄。
B、返修
C、重新檢驗
D、讓步接收
E、降級使用
向下滑動查看參考答案
↓
↓↓
↓↓↓↓
答案:ABDE
解析:本題主要考查的是施工過程質量控制。不合格處置應根據不合格嚴重程度,按返工、返修,讓步接收或降級使用,拒收或報廢四種情況進行處理。
B、施工機械控制
C、分項工程控制
D、特殊過程控制
E、不合格產品控制
向下滑動查看參考答案
↓
↓↓
↓↓↓↓
答案:CDE
解析:本題主要考查的是施工過程質量控制。施工過程質量控制主要包括:①分項工程控制;②特殊過程控制;③不合格產品控制。
B、材料費索賠
C、施工機械費索賠
D、施工措施費索賠
E、管理費索賠
向下滑動查看參考答案
↓
↓↓
↓↓↓↓
答案:ABCE
解析:一般分為四類,包括人工費索賠、材料費索賠、施工機械費索賠、管理費索賠。
B、費用索賠
C、延期索賠
D、施工加速索賠
E、道義索賠
向下滑動查看參考答案
↓
↓↓
↓↓↓↓
答案:CDE
解析:工程索賠中按索賠目的分類可分為工期索賠和費用索賠。按索賠發生的原因分:延期索賠、工程范圍變更索賠、施工加速索賠和不利現場條件索賠。按索賠的合同依據分:合同內索賠、合同外索賠和道義索賠。
某安裝公司承包2×200MW火力發電廠1號機組的全部機電安裝工程,工程主要內容包括鍋爐、汽輪發電機組、油浸式電力變壓器、110kV交聯電力電纜、化學水系統輸煤系統、電除塵裝置等安裝。
安裝公司項目部進場后,編制了施工組織設計制定項目考核成本。施工組織設計的主要內容有編制說明、工程概況。施工方案有油浸式電力變壓器施工方案、電力電纜敷設方案、電力電纜交接試驗方案等。油浸式電力變壓器施工方案中的施工程序只有開箱檢查、二次搬運、設備就位、吊芯檢查。安裝公司項目部重視施工技術交底工作,在各工程的開工前,技術人員對施工人員進行了施工技術交底。在油浸式電力變壓器安裝時,由于變壓器附件到貨晚,導致整體工期滯后,安裝公司項目部協調5名施工人員到該項目支援工作,作業班長考慮到他們比較熟悉變壓器安裝且經驗豐富,未通知技術人員進行交底,立即安排參加變壓器的安裝工作。
110kV電力電纜交接試驗時,電氣試驗人員按照施工方案與《電氣設備交接試驗標準》要求,對110kV電力電纜進行了電纜絕緣電阻測量和交流耐壓試驗。
2油浸式電力變壓器施工程序中還缺少哪些工序?
3.作業班長做法是否正確?寫出施工技術交底的類型
4.110KV電力電纜交接試驗時,還缺少哪幾個試驗項目?
向下滑動查看參考答案
↓
↓↓
↓↓↓↓
答案:
解析:1、本項目施工組織總設計的主要內容還應有:施工部著、施工進度計劃及保證措施、施工準備與資源配置計劃、主要分部分項工程施工工藝、施工總平面布置、主要施工管理措施。
2、油浸式電力變壓器施工程序中還缺少的工序有:附件安裝、濾油、注油、絕緣測試、交接試驗、驗收。
3、作業班長做法不正確。施工技術交底的類型有:設計交底、施工組織設計交底、施工方案、安全技術交底。
4、電力電纜交接試驗還缺少:電纜導體直流電阻測量、電纜相位檢查、直流泄漏電流測量、直流耐壓試驗。
B、縣級以上人民政府
C、當地人民政府
D、國務院
向下滑動查看參考答案
↓
↓↓
↓↓↓↓
答案:B
解析:本題考查的是水工程建設許可要求。
未經水行政主管部門或者流域管理機構同意,擅自修建水工程,由縣級以上人民政府水行政主管部門或者流域管理機構依據職權,責令停止違法行為,限期補辦有關手續。
B、專業規劃
C、總體規劃
D、局部規劃
向下滑動查看參考答案
↓
↓↓
↓↓↓↓
答案:B
解析:本題考查的是水工程建設許可要求。
專業規劃,是指防洪、治澇、灌溉、航運、供水、水力發電、竹木流放、漁業、水資源保護、水土保持、防沙治沙、節約用水等規劃。防洪規劃是專業規劃,故選B。
B、專業規劃
C、綜合規劃
D、單項規劃
向下滑動查看參考答案
↓
↓↓
↓↓↓↓
答案:A
解析:本題考查的是水工程建設許可要求。
《水法》第15條規定:“流域范圍內的區域規劃應當服從流域規劃,專業規劃應當服從綜合規劃。流域綜合規劃和區域綜合規劃以及與土地利用關系密切的專業規劃,應當與國民經濟和社會發展規劃以及土地利用總體規劃、城市總體規劃和環境保護規劃相協調,兼顧各地區、各行業的需要。故本題應選A。
B、中標通知書
C、已標價工程量清單
D、公路工程專用合同條款
向下滑動查看參考答案
↓
↓↓
↓↓↓↓
答案:C
解析:除項目專用合同條款另有約定外,解釋合同文件的優先順序如下:
1.合同協議書及各種合同附件(含評標期間和合同談判過程中的澄清文件和補充資料)。
2.中標通知書。
3.投標函及投標函附錄。
4.項目專用合同條款。
5.公路工程專用合同條款。
6.通用合同條款。
7.工程量清單計量規則。
8.技術規范。
9.圖紙。
10.已標價工程量清單。
11.承包人有關人員、設備投入的承諾及投標文件中的施工組織設計。
12.其他合同文件。
B、施工測量儀器
C、掛籃
D、滑模
E、爬模
向下滑動查看參考答案
↓
↓↓
↓↓↓↓
答案:ACDE
解析:翻模、滑(爬)模等自升式架設設施,以及自行設計、組裝或者改裝的施工掛(吊)籃、移動模架等設施在投入使用前,施工單位應當組織有關單位進行驗收,或者委托具有相應資質的檢驗檢測機構進行驗收,驗收合格后方可使用。
B、公路工程專用合同條款的優先級高于項目專用合同條款
C、中標通知書的優先級高于合同協議書和通用合同條款
D、通用合同條款的優先級高于圖紙和已標價工程量清單
E、技術規范優先級高于圖紙和已標價工程量清單
向下滑動查看參考答案
↓
↓↓
↓↓↓↓
答案:ADE
解析:除項目專用合同條款另有約定外,解釋合同文件的優先順序如下:
1.合同協議書及各種合同附件(含評標期間和合同談判過程中的澄清文件和補充資料)。
2.中標通知書。
3.投標函及投標函附錄。
4.項目專用合同條款。
5.公路工程專用合同條款。
6.通用合同條款。
7.工程量清單計量規則。
8.技術規范。
9.圖紙。
10.已標價工程量清單。
11.承包人有關人員、設備投入的承諾及投標文件中的施工組織設計。
12.其他合同文件。
魯班培訓簡介
一級建造師培訓、二級建造師培訓,BIM,監理工程師培訓,造價工程師培訓,造價實操,安全工程師培訓等,魯班培訓是建筑業證書考試培訓基地。
必選我們龍本教育魯班培訓,全國連鎖,無論你到哪里都能找到我們,熱烈歡迎您的光臨!魯班培訓河南地區官網:http://www.zhjiulongzx.cn/。
- 上一篇:二級建造師每日一練(11.15)
- 下一篇:二級建造師每日一練(11.17)
鄭州




